Skip to contents

This function runs a Monte Carlo simulation study given a set of predefined simulation functions, design conditions, and number of replications. Results can be saved as temporary files in case of interruptions and may be restored by re-running runSimulation, provided that the respective temp file can be found in the working directory. runSimulation supports parallel and cluster computing (with the parallel and future packages; see also runArraySimulation for submitting array jobs to HPC clusters), global and local debugging, error handling (including fail-safe stopping when functions fail too often, even across nodes), provides bootstrap estimates of the sampling variability (optional), and automatic tracking of error and warning messages with their associated .Random.seed states. For convenience, all functions available in the R work-space are exported across all nodes so that they are more easily accessible (however, other R objects are not, and therefore must be passed to the fixed_objects input to become available across nodes).

Usage

runSimulation(
  design,
  replications,
  generate,
  analyse,
  summarise,
  prepare = NULL,
  fixed_objects = NULL,
  packages = NULL,
  filename = NULL,
  debug = "none",
  load_seed = NULL,
  load_seed_prepare = NULL,
  save = any(replications > 2),
  store_results = TRUE,
  save_results = FALSE,
  parallel = FALSE,
  ncores = parallelly::availableCores(omit = 1L),
  cl = NULL,
  notification = "none",
  notifier = NULL,
  beep = FALSE,
  sound = 1,
  check.globals = FALSE,
  CI = 0.95,
  seed = NULL,
  boot_method = "none",
  boot_draws = 1000L,
  max_errors = 50L,
  resume = TRUE,
  save_details = list(),
  control = list(),
  not_parallel = NULL,
  progress = TRUE,
  verbose = interactive()
)

# S3 method for class 'SimDesign'
summary(object, ...)

# S3 method for class 'SimDesign'
print(x, list2char = TRUE, ...)

Arguments

design

a tibble or data.frame object containing the Monte Carlo simulation conditions to be studied, where each row represents a unique condition and each column a factor to be varied. See createDesign for the standard approach to create this simulation design object

As an augmentation of the input, the original design object can be passed to expandDesign to systemically repeat the rows of each simulation condition, allowing smaller numbers of replications to be supplied per condition. After this distributed job is complete the function SimCollect can be used to recombine the results to a form commensurate with the original design object

replications

number of independent replications to perform per condition (i.e., each row in design). Can be a single number, which will be used for each design condition, or an integer vector with length equal to nrow(design). All inputs must be greater than 0, though setting to less than 3 (for initial testing purpose) will disable the save and control$stop_on_fatal flags

generate

user-defined data and parameter generating function (or named list of functions). See Generate for details. Note that this argument may be omitted by the user if they wish to generate the data with the analyse step, but for real-world simulations this is generally not recommended. If multiple generate functions are provided as a list then the list of generate functions are executed in order until the first valid generate function is executed, where the subsequent generation functions are then ignored (see GenerateIf to only apply data generation for specific conditions).

analyse

user-defined analysis function (or named list of functions) that acts on the data generated from Generate (or, if generate was omitted, can be used to generate and analyse the simulated data). See Analyse for details

summarise

optional (but strongly recommended) user-defined summary function from Summarise to be used to compute meta-statistical summary information after all the replications have completed within each design condition. Return of this function, in order of increasing complexity, should be: a named numeric vector or data.frame with one row, a matrix or data.frame with more than one row, and, failing these more atomic types, a named list. When a list is returned the final simulation object will contain a column SUMMARISE containing the summary results for each respective condition

Note that unlike the Generate and Analyse steps, the Summarise portion is not as important to perfectly organize as the results can be summarised later on by using the built-in reSummarise function (provided either store_results = TRUE or save_results = TRUE were included).

Omitting this function will return a tibble with the Design and associated results information for all nrow(Design) * replications evaluations if the results from each Analyse() call was a one-dimensional vector. For more general objects returned by Analyse() (such as lists), a list containing the results returned from Analyse. This is generally only recommended for didactic purposes because the results will leave out a large amount of information (e.g., try-errors, warning messages, saving files, etc), can witness memory related issues if the Analyse function returns larger objects, and generally is not as flexible internally. However, it may be useful when replications are expensive and ANOVA-based decompositions involving the within-condition replication information are of interest, though of course this can be circumvented by using store_results = TRUE or save_results = TRUE with or without a supplied summarise definition.

Finally, there are keywords that should not be returned from this function, since they will cause a conflict with the aggregated simulation objects. These are currently those listed in capital letters (e.g., ERRORS, WARNINGS, REPLICATIONS, etc), all of which can be avoided if the returned objects are not entirely capitalized (e.g., Errors, errors, ErRoRs, ..., will all avoid conflicts)

prepare

(optional) a function that executes once per simulation condition (i.e., once per row in design) to load or prepare condition-specific objects into fixed_objects before replications are run. This function should accept condition and fixed_objects as arguments and return the modified fixed_objects.

The primary use case is to load pre-computed objects from disk that were generated offline:

prepare <- function(condition, fixed_objects) {

# Create filename from design parameters

fname <- paste0('prepare/N', condition$N, '_SD', condition$SD, '.rds')

fixed_objects$expensive_stuff <- readRDS(fname)

fixed_objects

}

This approach allows you to: (1) pre-generate expensive condition-specific objects prior to running the simulation, (2) save them as individual RDS files, and (3) load them efficiently during the simulation. This is preferable to generating objects within prepare() itself because it allows you to inspect the objects, ensures reproducibility, and separates object generation from the simulation workflow.

Note: Objects added to fixed_objects in prepare() are not stored by runSimulation() to conserve memory, as they are typically large. You should maintain your own records of these objects outside the simulation.

RNG Warning: If you generate objects within prepare() using random number generation (e.g., rnorm(), runif()), reproducibility requires explicit RNG state management via store_Random.seeds=TRUE and load_seed_prepare. Pre-computing and saving objects as RDS files is the recommended approach for reproducible simulations.

The function signature should be: prepare <- function(condition, fixed_objects) { ... return(fixed_objects) }

Default is NULL, in which case no preparation step is performed

fixed_objects

(optional) an object (usually a named list) containing additional user-defined objects that should remain fixed across conditions. This is useful when including large vectors/matrices of population parameters, fixed data information that should be used across all conditions and replications (e.g., including a common design matrix for linear regression models), or simply control constant global elements (e.g., a constant for sample size)

packages

a character vector of external packages to be used during the simulation (e.g., c('MASS', 'extraDistr', 'simsem') ). Use this input when running code in parallel to use non-standard functions from additional packages. Note that any previously attached packages explicitly loaded via library or require will be automatically added to this list, provided that they are visible in the otherPkgs element from sessionInfo. Alternatively, functions can be called explicitly without attaching the package with the :: operator (e.g., extraDistr::rgumbel())

filename

(optional) the name of the .rds file to save the final simulation results to. If the extension .rds is not included in the file name (e.g. "mysimulation" versus "mysimulation.rds") then the .rds extension will be automatically added to the file name to ensure the file extension is correct.

Note that if the same file name already exists in the working directly at the time of saving then a new file will be generated instead and a warning will be thrown. This helps to avoid accidentally overwriting existing files. Default is NULL, indicating no file will be saved by default

debug

a string indicating where to initiate a browser() call for editing and debugging, and pairs particularly well with the load_seed argument for precise debugging. General options are 'none' (default; no debugging), 'error', which starts the debugger when any error in the code is detected in one of three generate-analyse-summarise functions, and 'all', which debugs all the user defined functions regardless of whether an error was thrown or not. Specific options include: 'generate' to debug the data simulation function, 'analyse' to debug the computational function, and 'summarise' to debug the aggregation function.

If the Analyse argument is supplied as a named list of functions then it is also possible to debug the specific function of interest by passing the name of the respective function in the list. For instance, if analyse = list(A1=Analyse.A1, A2=Analyse.A2) then passing debug = 'A1' will debug only the first function in this list, and all remaining analysis functions will be ignored.

For debugging specific rows in the Design input (e.g., when a number of initial rows successfully complete but the kth row fails) the row number can be appended to the standard debug input using a '-' separator. For instance, debugging whenever an error is raised in the second row of Design can be declared via debug = 'error-2'.

Finally, users may place browser calls within the respective functions for debugging at specific lines, which is useful when debugging based on conditional evaluations (e.g., if(this == 'problem') browser()). Note that parallel computation flags will automatically be disabled when a browser() is detected or when a debugging argument other than 'none' is supplied

load_seed

used to replicate an exact simulation state, which is primarily useful for debugging purposes. Input can be a character object indicating which file to load from when the .Random.seeds have be saved (after a call with save_seeds = TRUE), or an integer vector indicating the actual .Random.seed values (e.g., extracted after using store_seeds). E.g., load_seed = 'design-row-2/seed-1' will load the first seed in the second row of the design input, or explicitly passing the elements from .Random.seed (see SimExtract or SimErrors to extract the seeds associated explicitly with errors during the simulation, where each column represents a unique seed). If the input is a character vector then it is important NOT to modify the design input object, otherwise the path may not point to the correct saved location, while if the input is an integer vector (or single column tbl object) then it WILL be important to modify the design input in order to load this exact seed for the corresponding design row. Default is NULL

load_seed_prepare

similar to load_seed, but specifically for debugging the prepare function. Used to replicate the exact RNG state when prepare is called for a given condition. Accepts the same input formats as load_seed: a character string path (e.g., 'design-row-2/prepare-seed'), an integer vector containing the .Random.seed state, or a tibble/data.frame with seed values. This is particularly useful when prepare encounters an error and you need to reproduce the exact state. The prepare error seed can be extracted using SimExtract(res, 'prepare_error_seed'). Default is NULL

save

logical; save the temporary simulation state to the hard-drive using qs2::qd_save()? This is useful for simulations which require an extended amount of time, though for shorter simulations can be disabled to slightly improve computational efficiency. When TRUE, which is the default when evaluating replications > 2, a temp file will be created in the working directory which allows the simulation state to be saved and recovered (in case of power outages, crashes, etc). As well, triggering this flag will save any fatal .Random.seed states when conditions unexpectedly crash (where each seed is stored row-wise in an external .rds file), which provides a much easier mechanism to debug issues (see load_seed for details). Upon completion, this temp file will be removed.

To recover your simulation at the last known location (having patched the issues in the previous execution code) simply re-run the code you used to initially define the simulation and the external file will automatically be detected and read-in. Default is TRUE when replications > 10 and FALSE otherwise. See also SimRead to read and inspect the stored files

store_results

logical; store the complete tables of simulation results in the returned object? This is TRUE default, though if RAM anticipated to be an issue see save_results instead. Note that if the Design object is omitted from the call to runSimulation(), or the number of rows in Design is exactly 1, then this argument is automatically set to TRUE as RAM storage is no longer an issue.

To extract these results pass the returned object to either SimResults or SimExtract with what = 'results', which will return a named list of all the simulation results for each condition if nrow(Design) > 1; otherwise, if nrow(Design) == 1 or Design was missing the results object will be stored as-is

save_results

logical; save the results returned from Analyse to external .rds files located in the defined save_results_dirname directory/folder? Use this if you would like to keep track of the individual parameters returned from the analysis function. Each saved object will contain a list of three elements containing the condition (row from design), results (as a list or matrix), and try-errors. See SimResults and SimRead for an example of how to read these .rds files back into R after the simulation is complete. Default is FALSE.

WARNING: saving results to your hard-drive can fill up space very quickly for larger simulations. Be sure to test this option using a smaller number of replications before the full Monte Carlo simulation is performed. See also reSummarise for applying summarise functions from saved simulation results

parallel

logical; use parallel processing from the parallel package over each unique condition? This distributes the independent replications across the defined nodes, and is repeated for each row condition in the design input.

Alternatively, if the future package approach is desired then passing parallel = 'future' to runSimulation() will use the defined plan for execution. This allows for greater flexibility when specifying the general computing plan (e.g., plan(multisession)) for parallel computing on the same machine, plan(future.batchtools::batchtools_torque) or plan(future.batchtools::batchtools_slurm) for common MPI/Slurm schedulers, etc). However, it is the responsibility of the user to use plan(sequential) to reset the computing plan when the jobs are completed

ncores

number of cores to be used in parallel execution (ignored if using the future package approach). Default uses all available minus 1

cl

cluster object defined by makeCluster used to run code in parallel (ignored if using the future package approach). If NULL and parallel = TRUE, a local cluster object will be defined which selects the maximum number cores available and will be stopped when the simulation is complete. Note that supplying a cl object will automatically set the parallel argument to TRUE. Define and supply this cluster object yourself whenever you have multiple nodes and can link them together manually

If the future package has been attached prior to executing runSimulation() then the associated plan() will be followed instead

notification

an optional character vector input that can be used to send notifications with information about execution time and recorded errors and warnings. Pass one of the following supported options: 'none' (default; send no notification), 'condition' to send a notification after each condition has completed, or 'complete' to send a notification only when the simulation has finished. When notification is set to 'condition' or 'complete', the notifier argument must be supplied with a valid notifier object (or a list of notifier objects).

notifier

A notifier object (or a list of notifier objects, allowing for multiple notification methods) required when notification is not set to "none". See listAvailableNotifiers for a list of available notifiers and how to use them.

Example usage:

telegram_notifier <- new_TelegramNotifier(bot_token = "123456:ABC-xyz", chat_id = "987654321")

runSimulation(..., notification = "condition", notifier = telegram_notifier)

Using multiple notifiers:

pushbullet_notifier <- new_PushbulletNotifier()

runSimulation(..., notification = "complete", notifier = list(telegram_notifier, pushbullet_notifier))

See the R/notifications.R file for reference on implementing a custom notifier.

beep

logical; call the beepr package when the simulation is completed?

sound

sound argument passed to beepr::beep()

check.globals

logical; should the functions be inspected for potential global variable usage? Using global object definitions will raise issues with parallel processing, and therefore any global object to be use in the simulation should either be defined within the code itself of included in the fixed_objects input. Setting this value to TRUE will return a character vector of potentially problematic objects/functions that appear global, the latter of which can be ignored. Careful inspection of this list may prove useful in tracking down object export issues

CI

bootstrap confidence interval level (default is 95%)

seed

a vector or list of integers to be used for reproducibility. The length of the vector must be equal the number of rows in design. If the input is a vector then set.seed or clusterSetRNGStream for each condition will be called, respectively. If a list is provided then these numbers must have been generated from genSeeds. The list approach ensures random number generation independence across conditions and replications, while the vector input ensures independence within the replications per conditions but not necessarily across conditions. Default randomly generates seeds within the range 1 to 2147483647 for each condition via genSeeds

boot_method

method for performing non-parametric bootstrap confidence intervals for the respective meta-statistics computed by the Summarise function. Can be 'basic' for the empirical bootstrap CI, 'percentile' for percentile CIs, 'norm' for normal approximations CIs, or 'studentized' for Studentized CIs (should only be used for simulations with lower replications due to its computational intensity). Alternatively, CIs can be constructed using the argument 'CLT', which computes the intervals according to the large-sample standard error approximation \(SD(results)/\sqrt{R}\). Default is 'none', which performs no CI computations

boot_draws

number of non-parametric bootstrap draws to sample for the summarise function after the generate-analyse replications are collected. Default is 1000

max_errors

the simulation will terminate when more than this number of consecutive errors are thrown in any given condition, causing the simulation to continue to the next unique design condition. This is included to avoid getting stuck in infinite re-draws, and to indicate that something fatally problematic is going wrong in the generate-analyse phases. Default is 50

resume

logical; if a temporary SimDesign file is detected should the simulation resume from this location? Keeping this TRUE is generally recommended, however this should be disabled if using runSimulation within runSimulation to avoid reading improper save states. Alternatively, if an integer is supplied then the simulation will continue at the associated row location in design (e.g., resume=10). This is useful to overwrite a previously evaluate element in the temporary files that was detected to contain fatal errors that require re-evaluation without discarding the originally valid rows in the simulation

save_details

a list pertaining to information regarding how and where files should be saved when the save or save_results flags are triggered.

safe

logical; trigger whether safe-saving should be performed. When TRUE files will never be overwritten accidentally, and where appropriate the program will either stop or generate new files with unique names. Default is TRUE

compname

name of the computer running the simulation. Normally this doesn't need to be modified, but in the event that a manual node breaks down while running a simulation the results from the temp files may be resumed on another computer by changing the name of the node to match the broken computer. Default is the result of evaluating unname(Sys.info()['nodename'])

out_rootdir

root directory to save all files to. Default uses the current working directory

save_results_dirname

a string indicating the name of the folder to save result objects to when save_results = TRUE. If a directory/folder does not exist in the current working directory then a unique one will be created automatically. Default is 'SimDesign-results_' with the associated compname appended if no filename is defined, otherwise the filename is used to replace 'SimDesign' in the string. See SimRead to read in the individual files

save_results_filename

a string indicating the name file to store, where the Design row ID will be appended to ensure uniqueness across rows. Specifying this input will disable any checking for the uniqueness of the file folder, thereby allowing independent runSimulation calls to write to the same save_results_dirname. Useful when the files should all be stored in the same working directory, however the rows of Design are evaluated in isolation (e.g., for HPC structures that allow asynchronous file storage). WARNING: the uniqueness of the file names are not checked using this approach, therefore please ensure that each generated name will be unique a priori, such as naming the file based on the supplied row condition information. See SimRead to read in the individual files

save_seeds_dirname

a string indicating the name of the folder to save .Random.seed objects to when save_seeds = TRUE. If a directory/folder does not exist in the current working directory then one will be created automatically. Default is 'SimDesign-seeds_' with the associated compname appended if no filename is defined, otherwise the filename is used to replace 'SimDesign' in the string

tmpfilename

string indicating the temporary file name to save provisional information to using the qs2 format. If not specified the following will be used: paste0('SIMDESIGN-TEMPFILE_', compname)

control

a list for extra information flags for controlling less commonly used features. These include

use_mirai

logical (default is TRUE); when defining the cl object internally, should the cluster object be built using mirai or parallel? Set this to FALSE for parallel behavior prior to SimDesign version 2.25. Note that if mirai is not available then the parallel package will be used by default instead

stop_on_fatal

logical (default is FALSE); should the simulation be terminated immediately when the maximum number of consecutive errors (max_errors) is reached? If FALSE, the simulation will continue as though errors did not occur, however a column FATAL_TERMINATION will be included in the resulting object indicating the final error message observed, and NA placeholders will be placed in all other row-elements. Default is FALSE, though is automatically set to TRUE when replications < 3 for the purpose of debugging

warnings_as_errors

logical (default is FALSE); treat warning messages as error messages during the simulation? Default is FALSE, therefore warnings are only collected and not used to restart the data generation step, and the seeds associated with the warning message conditions are not stored within the final simulation object.

Note that this argument is generally intended for debugging/early planning stages when designing a simulation experiment. If specific warnings are known to be problematic and should be treated as errors then please use manageWarnings instead

logging

a character vector indicating whether the execution times for the generate and analyse functions should be logged. Values can be 'store' to store the times (and later extract using SimExtract) or 'verbose' to both store and print the times via cat for stdout piping (useful on cluster computing)

save_seeds

logical; save the .Random.seed states prior to performing each replication into plain text files located in the defined save_seeds_dirname directory/folder? Use this if you would like to keep track of every simulation state within each replication and design condition. This can be used to completely replicate any cell in the simulation if need be. As well, see the load_seed input to load a given .Random.seed to exactly replicate the generated data and analysis state (mostly useful for debugging). When TRUE, temporary files will also be saved to the working directory (in the same way as when save = TRUE). Additionally, if a prepare function is provided, the RNG state before prepare() execution is saved to 'design-row-X/prepare-seed'. Default is FALSE

Note, however, that this option is not typically necessary or recommended since the .Random.seed states for simulation replications that throw errors during the execution are automatically stored within the final simulation object, and can be extracted and investigated using SimExtract. Hence, this option is only of interest when all of the replications must be reproducible (which occurs very rarely), otherwise the defaults to runSimulation should be sufficient

store_Random.seeds

logical; store the complete .Random.seed states for each simulation replicate? Default is FALSE as this can take up a great deal of unnecessary RAM (see related save_seeds), however this may be useful when used with runArraySimulation. To extract use SimExtract(..., what = 'stored_Random.seeds'). Additionally, if a prepare function is provided, the RNG state before prepare() execution is stored and can be extracted with SimExtract(..., what = 'prepare_seeds')

store_warning_seeds

logical (default is FALSE); in addition to storing the .Random.seed states whenever error messages are raised, also store the .Random.seed states when warnings are raised? This is disabled by default since warnings are generally less problematic than errors, and because many more warnings messages may be raised throughout the simulation (potentially causing RAM related issues when constructing the final simulation object as any given simulation replicate could generate numerous warnings, and storing the seeds states could add up quickly).

Set this to TRUE when replicating warning messages is important, however be aware that too many warnings messages raised during the simulation implementation could cause RAM related issues.

include_replication_index or include_reps

logical (default is FALSE); should a REPLICATION element be added to the condition object when performing the simulation to track which specific replication experiment is being evaluated? This is useful when, for instance, attempting to run external software programs (e.g., Mplus) that require saving temporary data sets to the hard-drive (see the Wiki for examples)

try_all_analyse

logical; when analyse is a list, should every generated data set be analyzed by each function definition in the analyse list? Default is TRUE.

Note that this TRUE default can be computationally demanding when some analysis functions require more computational resources than others, and the data should be discarded early as an invalid candidate (e.g., estimating a model via maximum-likelihood in on analyze component, while estimating a model using MCMC estimation on another). Hence, the main benefit of using FALSE instead is that the data set may be rejected earlier, where easier/faster to estimate analyse definitions should be placed earlier in the list as the functions are evaluated in sequence (e.g., Analyse = list(MLE=MLE_definition, MCMC=MCMC_definition))

allow_na

logical (default is FALSE); should NAs be allowed in the analyse step as a valid result from the simulation analysis?

allow_nan

logical (default is FALSE); should NaNs be allowed in the analyse step as a valid result from the simulation analysis?

type

default type of cluster to create for the cl object if not supplied. For Windows OS this defaults to "PSOCK", otherwise "SOCK" is selected (suitable for Linux and Mac OSX). This is ignored if the user specifies their own cl object

print_RAM

logical (default is TRUE); print the amount of RAM used throughout the simulation? Set to FALSE if unnecessary or if the call to gc is unnecessarily time consuming

global_fun_level

determines how many levels to search until global environment frame is located. Default is 2, though for runArraySimulation this is set to 3. Use 3 or more whenever runSimulation is used within the context of another function

max_time

Similar to runArraySimulation, specifies the (approximate) maximum time that the simulation is allowed to be executed. Default sets no time limit. See timeFormater for the input specifications; otherwise, can be specified as a numeric input reflecting the maximum time in seconds.

Note that when parallel = TRUE the max_time can only be checked on a per condition basis.

max_RAM

Similar to runArraySimulation, specifies the (approximate) maximum RAM that the simulation is allowed to occupy. However, unlike the implementation in runArraySimulation is evaluated on a per condition basis, where max_RAM is only evaluated after every row in the design object has been completed (hence, is notably more approximate as it has the potential to overshoot by a wider margin). Default sets no RAM limit. See runArraySimulation for the input specifications.

not_parallel

integer vector indicating which rows in the design object should not be run in parallel. This is useful when some version of parallel is used, however the overhead that tags along with parallel processing results in higher processing times than simply running the simulation with one core.

progress

logical; display a progress bar (using the pbapply package) for each simulation condition? In interactive sessions, shows a timer-based progress bar. In non-interactive sessions (e.g., HPC cluster jobs), displays text-based progress updates that are visible in log files. This is useful when simulations conditions take a long time to run (see also the notification argument). Default is TRUE

verbose

logical; print messages to the R console? Default is TRUE when in interactive mode

object

SimDesign object returned from runSimulation

...

additional arguments

x

SimDesign object returned from runSimulation

list2char

logical; for tibble object re-evaluate list elements as character vectors for better printing of the levels? Note that this does not change the original classes of the object, just how they are printed. Default is TRUE

Value

a tibble from the dplyr package (also of class 'SimDesign') with the original design conditions in the left-most columns, simulation results in the middle columns, and additional information in the right-most columns (see below).

The right-most column information for each condition are: REPLICATIONS to indicate the number of Monte Carlo replications, SIM_TIME to indicate how long (in seconds) it took to complete all the Monte Carlo replications for each respective design condition, RAM_USED amount of RAM that was in use at the time of completing each simulation condition, COMPLETED to indicate the date in which the given simulation condition completed, SEED for the integer values in the seed argument (if applicable; not relevant when L'Ecuyer-CMRG method used), and, if applicable, ERRORS and WARNINGS which contain counts for the number of error or warning messages that were caught (if no errors/warnings were observed these columns will be omitted). Note that to extract the specific error and warnings messages see SimErrors and SimWarnings. Finally, if boot_method was a valid input other than 'none' then the final right-most columns will contain the labels BOOT_ followed by the name of the associated meta-statistic defined in summarise() and and bootstrapped confidence interval location for the meta-statistics.

Details

For an in-depth tutorial of the package please refer to Chalmers and Adkins (2020; doi:10.20982/tqmp.16.4.p248 ). For an earlier didactic presentation of the package refer to Sigal and Chalmers (2016; doi:10.1080/10691898.2016.1246953 ). Finally, see the associated wiki on Github (https://github.com/philchalmers/SimDesign/wiki) for tutorial material, examples, and applications of SimDesign to real-world simulation experiments, as well as the various vignette files associated with the package.

The strategy for organizing the Monte Carlo simulation work-flow is to

1)

Define a suitable Design object (a tibble or data.frame) containing fixed conditional information about the Monte Carlo simulations. Each row of this design object pertains to a unique set of simulation conditions to study, while each column the simulation factor under investigation (e.g., sample size, distribution types, etc). This is often expedited by using the createDesign function, and if necessary the argument subset can be used to remove redundant or non-applicable rows

2)

Define the three step functions to generate the data (Generate; see also https://CRAN.R-project.org/view=Distributions for a list of distributions in R), analyse the generated data by computing the respective parameter estimates, detection rates, etc (Analyse), and finally summarise the results across the total number of replications (Summarise).

3)

Pass the design object and three defined R functions to runSimulation, and declare the number of replications to perform with the replications input. This function will return a suitable tibble object with the complete simulation results and execution details

4)

Analyze the output from runSimulation, possibly using ANOVA techniques (SimAnova) and generating suitable plots and tables

Expressing the above more succinctly, the functions to be called have the following form, with the exact functional arguments listed:

Design <- createDesign(...)
Generate <- function(condition, fixed_objects) {...}
Analyse <- function(condition, dat, fixed_objects) {...}
Summarise <- function(condition, results, fixed_objects) {...}
res <- runSimulation(design=Design, replications, generate=Generate, analyse=Analyse, summarise=Summarise)

The condition object above represents a single row from the design object, indicating a unique Monte Carlo simulation condition. The condition object also contains two additional elements to help track the simulation's state: an ID variable, indicating the respective row number in the design object, and a REPLICATION element indicating the replication iteration number (an integer value between 1 and replication). This setup allows users to easily locate the rth replication (e.g., REPLICATION == 500) within the jth row in the simulation design (e.g., ID == 2). The REPLICATION input is also useful when temporarily saving files to the hard-drive when calling external command line utilities (see examples on the wiki).

For a template-based version of the work-flow, which is often useful when initially defining a simulation, use the SimFunctions function. This function will write a template simulation to one/two files so that modifying the required functions and objects can begin immediately. This means that users can focus on their Monte Carlo simulation details right away rather than worrying about the repetitive administrative code-work required to organize the simulation's execution flow.

Finally, examples, presentation files, and tutorials can be found on the package wiki located at https://github.com/philchalmers/SimDesign/wiki.

Saving data, results, seeds, and the simulation state

To conserve RAM, temporary objects (such as data generated across conditions and replications) are discarded; however, these can be saved to the hard-disk by passing the appropriate flags. For longer simulations it is recommended to use the save_results flag to write the analysis results to the hard-drive.

The use of the store_seeds or the save_seeds options can be evoked to save R's .Random.seed state to allow for complete reproducibility of each replication within each condition. These individual .Random.seed terms can then be read in with the load_seed input to reproduce the exact simulation state at any given replication. Most often though, saving the complete list of seeds is unnecessary as problematic seeds are automatically stored in the final simulation object to allow for easier replicability of potentially problematic errors (which incidentally can be extracted from SimErrors(res, seeds=TRUE) and passed to the load_seed argument). Finally, providing a vector of seeds is also possible to ensure that each simulation condition is macro reproducible under the single/multi-core method selected.

Finally, when the Monte Carlo simulation is complete it is recommended to write the results to a hard-drive for safe keeping, particularly with the filename argument provided (for reasons that are more obvious in the parallel computation descriptions below). Using the filename argument supplied is safer than using, for instance, saveRDS directly because files will never accidentally be overwritten, and instead a new file name will be created when a conflict arises; this type of implementation safety is prevalent in many locations in the package to help avoid unrecoverable (yet surprisingly common) mistakes during the process of designing and executing Monte Carlo simulations.

Resuming temporary results

In the event of a computer crash, power outage, etc, if save = TRUE was used (the default) then the original code used to execute runSimulation() need only be re-run to resume the simulation. The saved temp file will be read into the function automatically, and the simulation will continue at the condition where it left off before the simulation state was terminated. If users wish to remove this temporary simulation state entirely so as to start anew then simply pass SimClean(temp = TRUE) in the R console to remove any previously saved temporary objects.

A note on parallel computing

When running simulations in parallel (either with parallel = TRUE or when using the future approach with a plan() other than sequential) R objects defined in the global environment will generally not be visible across nodes. Hence, you may see errors such as Error: object 'something' not found if you try to use an object that is defined in the work space but is not passed to runSimulation. To avoid this type of error, simply pass additional objects to the fixed_objects input (usually it's convenient to supply a named list of these objects). Fortunately, however, custom functions defined in the global environment are exported across nodes automatically. This makes it convenient when writing code because custom functions will always be available across nodes if they are visible in the R work space. As well, note the packages input to declare packages which must be loaded via library() in order to make specific non-standard R functions available across nodes.

References

Chalmers, R. P., & Adkins, M. C. (2020). Writing Effective and Reliable Monte Carlo Simulations with the SimDesign Package. The Quantitative Methods for Psychology, 16(4), 248-280. doi:10.20982/tqmp.16.4.p248

Sigal, M. J., & Chalmers, R. P. (2016). Play it again: Teaching statistics with Monte Carlo simulation. Journal of Statistics Education, 24(3), 136-156. doi:10.1080/10691898.2016.1246953

Author

Phil Chalmers rphilip.chalmers@gmail.com

Examples


#-------------------------------------------------------------------------------
# Example 1: Sampling distribution of mean

# This example demonstrate some of the simpler uses of SimDesign,
# particularly for classroom settings. The only factor varied in this simulation
# is sample size.

# skeleton functions to be saved and edited
SimFunctions()
#> #-------------------------------------------------------------------
#> 
#> library(SimDesign)
#> 
#> Design <- createDesign(factor1 = NA,
#>                        factor2 = NA)
#> 
#> #-------------------------------------------------------------------
#> 
#> Generate <- function(condition, fixed_objects) {
#>     dat <- data.frame()
#>     dat
#> }
#> 
#> Analyse <- function(condition, dat, fixed_objects) {
#>     ret <- nc(stat1 = NaN, stat2 = NaN)
#>     ret
#> }
#> 
#> Summarise <- function(condition, results, fixed_objects) {
#>     ret <- c(bias = NaN, RMSE = NaN)
#>     ret
#> }
#> 
#> #-------------------------------------------------------------------
#> 
#> res <- runSimulation(design=Design, replications=2, generate=Generate, 
#>                      analyse=Analyse, summarise=Summarise)
#> res
#> 

#### Step 1 --- Define your conditions under study and create design data.frame

Design <- createDesign(N = c(10, 20, 30))


#~~~~~~~~~~~~~~~~~~~~~~~~
#### Step 2 --- Define generate, analyse, and summarise functions

# help(Generate)
Generate <- function(condition, fixed_objects) {
    dat <- with(condition, rnorm(N, 10, 5)) # distributed N(10, 5)
    dat
}

# help(Analyse)
Analyse <- function(condition, dat, fixed_objects) {
    ret <- c(mean=mean(dat)) # mean of the sample data vector
    ret
}

# help(Summarise)
Summarise <- function(condition, results, fixed_objects) {
    # mean and SD summary of the sample means
    ret <- c(mu=mean(results$mean), SE=sd(results$mean))
    ret
}


#~~~~~~~~~~~~~~~~~~~~~~~~
#### Step 3 --- Collect results by looping over the rows in design

# run the simulation in testing mode (replications = 2)
Final <- runSimulation(design=Design, replications=2,
                       generate=Generate, analyse=Analyse, summarise=Summarise)
Final
#> # A tibble: 3 × 7
#>       N      mu      SE REPLICATIONS SIM_TIME       SEED COMPLETED              
#>   <dbl>   <dbl>   <dbl>        <dbl> <chr>         <int> <chr>                  
#> 1    10 10.202  1.4729             2 0.00s     533810122 Mon May  4 00:56:44 20…
#> 2    20 10.885  0.31864            2 0.00s    1340659367 Mon May  4 00:56:44 20…
#> 3    30  9.6268 1.2548             2 0.00s     881068069 Mon May  4 00:56:44 20…
(results <- SimResults(Final))
#> # A tibble: 6 × 2
#>       N  mean
#>   <dbl> <dbl>
#> 1    10 11.2 
#> 2    10  9.16
#> 3    20 10.7 
#> 4    20 11.1 
#> 5    30 10.5 
#> 6    30  8.74
results |> group_by(N) |> descript()
#> # A tibble: 3 × 12
#>       N     n  mean  trim    sd      skew  kurt   min   P25   P50   P75   max
#>   <dbl> <dbl> <dbl> <dbl> <dbl>     <dbl> <dbl> <dbl> <dbl> <dbl> <dbl> <dbl>
#> 1    10     2 10.2  10.2  1.47   0        -2.75  9.16  9.68 10.2   10.7  11.2
#> 2    20     2 10.9  10.9  0.319  4.16e-15 -2.75 10.7  10.8  10.9   11.0  11.1
#> 3    30     2  9.63  9.63 1.25  -1.10e-15 -2.75  8.74  9.18  9.63  10.1  10.5

# reproduce exact simulation
Final_rep <- runSimulation(design=Design, replications=2, seed=Final$SEED,
                       generate=Generate, analyse=Analyse, summarise=Summarise)
Final_rep
#> # A tibble: 3 × 7
#>       N      mu      SE REPLICATIONS SIM_TIME       SEED COMPLETED              
#>   <dbl>   <dbl>   <dbl>        <dbl> <chr>         <int> <chr>                  
#> 1    10 10.202  1.4729             2 0.00s     533810122 Mon May  4 00:56:44 20…
#> 2    20 10.885  0.31864            2 0.00s    1340659367 Mon May  4 00:56:44 20…
#> 3    30  9.6268 1.2548             2 0.00s     881068069 Mon May  4 00:56:44 20…
(results <- SimResults(Final_rep))
#> # A tibble: 6 × 2
#>       N  mean
#>   <dbl> <dbl>
#> 1    10 11.2 
#> 2    10  9.16
#> 3    20 10.7 
#> 4    20 11.1 
#> 5    30 10.5 
#> 6    30  8.74
results |> group_by(N) |> descript()
#> # A tibble: 3 × 12
#>       N     n  mean  trim    sd      skew  kurt   min   P25   P50   P75   max
#>   <dbl> <dbl> <dbl> <dbl> <dbl>     <dbl> <dbl> <dbl> <dbl> <dbl> <dbl> <dbl>
#> 1    10     2 10.2  10.2  1.47   0        -2.75  9.16  9.68 10.2   10.7  11.2
#> 2    20     2 10.9  10.9  0.319  4.16e-15 -2.75 10.7  10.8  10.9   11.0  11.1
#> 3    30     2  9.63  9.63 1.25  -1.10e-15 -2.75  8.74  9.18  9.63  10.1  10.5

if (FALSE) { # \dontrun{
# run with more standard number of replications
Final <- runSimulation(design=Design, replications=1000,
                       generate=Generate, analyse=Analyse, summarise=Summarise)
Final
(results <- SimResults(Final))
results |> group_by(N) |> descript()

#~~~~~~~~~~~~~~~~~~~~~~~~
#### Extras
# compare SEs estimates to the true SEs from the formula sigma/sqrt(N)
5 / sqrt(Design$N)

# To store the results from the analyse function either
#   a) omit a definition of summarise() to return all results,
#   b) use store_results = TRUE (default) to store results internally and later
#      extract with SimResults(), or
#   c) pass save_results = TRUE to runSimulation() and read the results in with SimResults()
#
#   Note that method c) should be adopted for larger simulations, particularly
#   if RAM storage could be an issue and error/warning message information is important.

# a) approach
res <- runSimulation(design=Design, replications=100,
                     generate=Generate, analyse=Analyse)
res

# b) approach (store_results = TRUE by default)
res <- runSimulation(design=Design, replications=100,
                     generate=Generate, analyse=Analyse, summarise=Summarise)
res
SimResults(res)

# c) approach
Final <- runSimulation(design=Design, replications=100, save_results=TRUE,
                       generate=Generate, analyse=Analyse, summarise=Summarise)

# read-in all conditions (can be memory heavy)
res <- SimResults(Final)
res
head(res[[1]]$results)

# just first condition
SimResults(Final, which=1)

# obtain empirical bootstrapped CIs during an initial run
# the simulation was completed (necessarily requires save_results = TRUE)
res <- runSimulation(design=Design, replications=1000, boot_method = 'basic',
                     generate=Generate, analyse=Analyse, summarise=Summarise)
res

# alternative bootstrapped CIs that uses saved results via reSummarise().
# Default directory save to:
dirname <- paste0('SimDesign-results_', unname(Sys.info()['nodename']), "/")
res <- reSummarise(summarise=Summarise, dir=dirname, boot_method = 'basic')
res

# remove the saved results from the hard-drive if you no longer want them
SimClean(results = TRUE)

} # }


#-------------------------------------------------------------------------------
# Example 2: t-test and Welch test when varying sample size, group sizes, and SDs

# skeleton functions to be saved and edited
SimFunctions()
#> #-------------------------------------------------------------------
#> 
#> library(SimDesign)
#> 
#> Design <- createDesign(factor1 = NA,
#>                        factor2 = NA)
#> 
#> #-------------------------------------------------------------------
#> 
#> Generate <- function(condition, fixed_objects) {
#>     dat <- data.frame()
#>     dat
#> }
#> 
#> Analyse <- function(condition, dat, fixed_objects) {
#>     ret <- nc(stat1 = NaN, stat2 = NaN)
#>     ret
#> }
#> 
#> Summarise <- function(condition, results, fixed_objects) {
#>     ret <- c(bias = NaN, RMSE = NaN)
#>     ret
#> }
#> 
#> #-------------------------------------------------------------------
#> 
#> res <- runSimulation(design=Design, replications=2, generate=Generate, 
#>                      analyse=Analyse, summarise=Summarise)
#> res
#> 

if (FALSE) { # \dontrun{
# in real-world simulations it's often better/easier to save
# these functions directly to your hard-drive with
SimFunctions('my-simulation')
} # }

#### Step 1 --- Define your conditions under study and create design data.frame

Design <- createDesign(sample_size = c(30, 60, 90, 120),
                       group_size_ratio = c(1, 4, 8),
                       standard_deviation_ratio = c(.5, 1, 2))
Design
#> # A tibble: 36 × 3
#>    sample_size group_size_ratio standard_deviation_ratio
#>          <dbl>            <dbl>                    <dbl>
#>  1          30                1                      0.5
#>  2          60                1                      0.5
#>  3          90                1                      0.5
#>  4         120                1                      0.5
#>  5          30                4                      0.5
#>  6          60                4                      0.5
#>  7          90                4                      0.5
#>  8         120                4                      0.5
#>  9          30                8                      0.5
#> 10          60                8                      0.5
#> # ℹ 26 more rows

#~~~~~~~~~~~~~~~~~~~~~~~~
#### Step 2 --- Define generate, analyse, and summarise functions

Generate <- function(condition, fixed_objects) {
    N <- condition$sample_size      # could use Attach() to make objects available
    grs <- condition$group_size_ratio
    sd <- condition$standard_deviation_ratio
    if(grs < 1){
        N2 <- N / (1/grs + 1)
        N1 <- N - N2
    } else {
        N1 <- N / (grs + 1)
        N2 <- N - N1
    }
    group1 <- rnorm(N1)
    group2 <- rnorm(N2, sd=sd)
    dat <- data.frame(group = c(rep('g1', N1), rep('g2', N2)), DV = c(group1, group2))
    dat
}

Analyse <- function(condition, dat, fixed_objects) {
    welch <- t.test(DV ~ group, dat)$p.value
    independent <- t.test(DV ~ group, dat, var.equal=TRUE)$p.value

    # In this function the p values for the t-tests are returned,
    #  and make sure to name each element, for future reference
    ret <- nc(welch, independent)
    ret
}

Summarise <- function(condition, results, fixed_objects) {
    #find results of interest here (e.g., alpha < .1, .05, .01)
    ret <- EDR(results, alpha = .05)
    ret
}


#~~~~~~~~~~~~~~~~~~~~~~~~
#### Step 3 --- Collect results by looping over the rows in design

# first, test to see if it works
res <- runSimulation(design=Design, replications=2,
                     generate=Generate, analyse=Analyse, summarise=Summarise)
res
#> # A tibble: 36 × 9
#>    sample_size group_size_ratio standard_deviation_ratio welch independent
#>          <dbl>            <dbl>                    <dbl> <dbl>       <dbl>
#>  1          30                1                      0.5   0           0  
#>  2          60                1                      0.5   0           0  
#>  3          90                1                      0.5   0           0  
#>  4         120                1                      0.5   0           0  
#>  5          30                4                      0.5   0.5         0.5
#>  6          60                4                      0.5   0           0.5
#>  7          90                4                      0.5   0           0  
#>  8         120                4                      0.5   0           0  
#>  9          30                8                      0.5   0           0.5
#> 10          60                8                      0.5   0           0.5
#> # ℹ 26 more rows
#> # ℹ 4 more variables: REPLICATIONS <dbl>, SIM_TIME <chr>, SEED <int>,
#> #   COMPLETED <chr>

if (FALSE) { # \dontrun{
# complete run with 1000 replications per condition
res <- runSimulation(design=Design, replications=1000, parallel=TRUE,
                     generate=Generate, analyse=Analyse, summarise=Summarise)
res
View(res)

## save final results to a file upon completion, and play a beep when done
runSimulation(design=Design, replications=1000, parallel=TRUE, filename = 'mysim',
              generate=Generate, analyse=Analyse, summarise=Summarise, beep=TRUE)

## same as above, but send a notification via Pushbullet upon completion
library(RPushbullet) # read-in default JSON file
pushbullet_notifier <- new_PushbulletNotifier(verbose_issues = TRUE)
runSimulation(design=Design, replications=1000, parallel=TRUE, filename = 'mysim',
              generate=Generate, analyse=Analyse, summarise=Summarise,
              notification = 'complete', notifier = pushbullet_notifier)

## Submit as RStudio job (requires job package and active RStudio session)
job::job({
  res <- runSimulation(design=Design, replications=100,
                       generate=Generate, analyse=Analyse, summarise=Summarise)
}, title='t-test simulation')
res  # object res returned to console when completed

## Debug the generate function. See ?browser for help on debugging
##   Type help to see available commands (e.g., n, c, where, ...),
##   ls() to see what has been defined, and type Q to quit the debugger
runSimulation(design=Design, replications=1000,
              generate=Generate, analyse=Analyse, summarise=Summarise,
              parallel=TRUE, debug='generate')

## Alternatively, place a browser() within the desired function line to
##   jump to a specific location
Summarise <- function(condition, results, fixed_objects) {
    #find results of interest here (e.g., alpha < .1, .05, .01)
    browser()
    ret <- EDR(results[,nms], alpha = .05)
    ret
}

## The following debugs the analyse function for the
## second row of the Design input
runSimulation(design=Design, replications=1000,
              generate=Generate, analyse=Analyse, summarise=Summarise,
              parallel=TRUE, debug='analyse-2')

} # }


####################################

if (FALSE) { # \dontrun{
## Network linked via ssh (two way ssh key-paired connection must be
## possible between master and slave nodes)
##
## Define IP addresses, including primary IP
primary <- '192.168.2.20'
IPs <- list(
    list(host=primary, user='phil', ncore=8),
    list(host='192.168.2.17', user='phil', ncore=8)
)
spec <- lapply(IPs, function(IP)
                   rep(list(list(host=IP$host, user=IP$user)), IP$ncore))
spec <- unlist(spec, recursive=FALSE)

cl <- parallel::makeCluster(type='PSOCK', master=primary, spec=spec)
res <- runSimulation(design=Design, replications=1000, parallel = TRUE,
                     generate=Generate, analyse=Analyse, summarise=Summarise, cl=cl)


## Using parallel='future' to allow the future framework to be used instead
library(future) # future structure to be used internally
plan(multisession) # specify different plan (default is sequential)

res <- runSimulation(design=Design, replications=100, parallel='future',
                     generate=Generate, analyse=Analyse, summarise=Summarise)
head(res)

# The progressr package is used for progress reporting with futures. To redefine
#  use progressr::handlers() (see below)
library(progressr)
with_progress(res <- runSimulation(design=Design, replications=100, parallel='future',
                     generate=Generate, analyse=Analyse, summarise=Summarise))
head(res)

# re-define progressr's bar (below requires cli)
handlers(handler_pbcol(
   adjust = 1.0,
   complete = function(s) cli::bg_red(cli::col_black(s)),
   incomplete = function(s) cli::bg_cyan(cli::col_black(s))
))

with_progress(res <- runSimulation(design=Design, replications=100, parallel='future',
                     generate=Generate, analyse=Analyse, summarise=Summarise))

# reset future computing plan when complete (good practice)
plan(sequential)

} # }

####################################

###### Post-analysis: Analyze the results via functions like lm() or SimAnova(), and create
###### tables(dplyr) or plots (ggplot2) to help visualize the results.
###### This is where you get to be a data analyst!


library(dplyr)
#> 
#> Attaching package: ‘dplyr’
#> The following objects are masked from ‘package:stats’:
#> 
#>     filter, lag
#> The following objects are masked from ‘package:base’:
#> 
#>     intersect, setdiff, setequal, union
res %>% summarise(mean(welch), mean(independent))
#> # A tibble: 1 × 2
#>   `mean(welch)` `mean(independent)`
#>           <dbl>               <dbl>
#> 1        0.0556              0.0833
res %>% group_by(standard_deviation_ratio, group_size_ratio) %>%
   summarise(mean(welch), mean(independent))
#> `summarise()` has regrouped the output.
#>  Summaries were computed grouped by standard_deviation_ratio and
#>   group_size_ratio.
#>  Output is grouped by standard_deviation_ratio.
#>  Use `summarise(.groups = "drop_last")` to silence this message.
#>  Use `summarise(.by = c(standard_deviation_ratio, group_size_ratio))` for
#>   per-operation grouping (`?dplyr::dplyr_by`) instead.
#> # A tibble: 9 × 4
#> # Groups:   standard_deviation_ratio [3]
#>   standard_deviation_ratio group_size_ratio `mean(welch)` `mean(independent)`
#>                      <dbl>            <dbl>         <dbl>               <dbl>
#> 1                      0.5                1         0                   0    
#> 2                      0.5                4         0.125               0.25 
#> 3                      0.5                8         0                   0.375
#> 4                      1                  1         0                   0    
#> 5                      1                  4         0                   0.125
#> 6                      1                  8         0.125               0    
#> 7                      2                  1         0                   0    
#> 8                      2                  4         0.125               0    
#> 9                      2                  8         0.125               0    

# quick ANOVA analysis method with all two-way interactions
SimAnova( ~ (sample_size + group_size_ratio + standard_deviation_ratio)^2, res,
  rates = TRUE)
#> $welch
#>                                           SS df MS   F   p  sig eta.sq
#> sample_size                                0  1  0 NaN NaN <NA>    NaN
#> group_size_ratio                           0  1  0 NaN NaN <NA>    NaN
#> standard_deviation_ratio                   0  1  0 NaN NaN <NA>    NaN
#> sample_size:group_size_ratio               0  1  0 NaN NaN <NA>    NaN
#> sample_size:standard_deviation_ratio       0  1  0 NaN NaN <NA>    NaN
#> group_size_ratio:standard_deviation_ratio  0  1  0 NaN NaN <NA>    NaN
#> Residuals                                  0 29  0  NA  NA         NaN
#>                                           eta.sq.part
#> sample_size                                       NaN
#> group_size_ratio                                  NaN
#> standard_deviation_ratio                          NaN
#> sample_size:group_size_ratio                      NaN
#> sample_size:standard_deviation_ratio              NaN
#> group_size_ratio:standard_deviation_ratio         NaN
#> Residuals                                          NA
#> 
#> $independent
#>                                           SS df MS   F   p  sig eta.sq
#> sample_size                                0  1  0 NaN NaN <NA>    NaN
#> group_size_ratio                           0  1  0 NaN NaN <NA>    NaN
#> standard_deviation_ratio                   0  1  0 NaN NaN <NA>    NaN
#> sample_size:group_size_ratio               0  1  0 NaN NaN <NA>    NaN
#> sample_size:standard_deviation_ratio       0  1  0 NaN NaN <NA>    NaN
#> group_size_ratio:standard_deviation_ratio  0  1  0 NaN NaN <NA>    NaN
#> Residuals                                  0 29  0  NA  NA         NaN
#>                                           eta.sq.part
#> sample_size                                       NaN
#> group_size_ratio                                  NaN
#> standard_deviation_ratio                          NaN
#> sample_size:group_size_ratio                      NaN
#> sample_size:standard_deviation_ratio              NaN
#> group_size_ratio:standard_deviation_ratio         NaN
#> Residuals                                          NA
#> 

# or more specific ANOVAs
SimAnova(independent ~ (group_size_ratio + standard_deviation_ratio)^2,
    res, rates = TRUE)
#>                                           SS df MS   F   p  sig eta.sq
#> group_size_ratio                           0  1  0 NaN NaN <NA>    NaN
#> standard_deviation_ratio                   0  1  0 NaN NaN <NA>    NaN
#> group_size_ratio:standard_deviation_ratio  0  1  0 NaN NaN <NA>    NaN
#> Residuals                                  0 32  0  NA  NA         NaN
#>                                           eta.sq.part
#> group_size_ratio                                  NaN
#> standard_deviation_ratio                          NaN
#> group_size_ratio:standard_deviation_ratio         NaN
#> Residuals                                          NA

# make some plots
library(ggplot2)
library(tidyr)
dd <- res %>%
   select(group_size_ratio, standard_deviation_ratio, welch, independent) %>%
   pivot_longer(cols=c('welch', 'independent'), names_to = 'stats')
dd
#> # A tibble: 72 × 4
#>    group_size_ratio standard_deviation_ratio stats       value
#>               <dbl>                    <dbl> <chr>       <dbl>
#>  1                1                      0.5 welch         0  
#>  2                1                      0.5 independent   0  
#>  3                1                      0.5 welch         0  
#>  4                1                      0.5 independent   0  
#>  5                1                      0.5 welch         0  
#>  6                1                      0.5 independent   0  
#>  7                1                      0.5 welch         0  
#>  8                1                      0.5 independent   0  
#>  9                4                      0.5 welch         0.5
#> 10                4                      0.5 independent   0.5
#> # ℹ 62 more rows

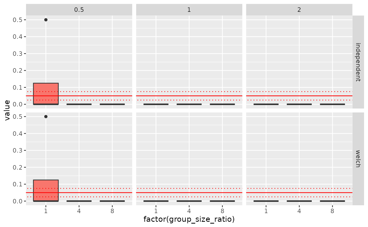
ggplot(dd, aes(factor(group_size_ratio), value)) + geom_boxplot() +
    geom_abline(intercept=0.05, slope=0, col = 'red') +
    geom_abline(intercept=0.075, slope=0, col = 'red', linetype='dotted') +
    geom_abline(intercept=0.025, slope=0, col = 'red', linetype='dotted') +
    facet_wrap(~stats)


ggplot(dd, aes(factor(group_size_ratio), value, fill = factor(standard_deviation_ratio))) +
    geom_boxplot() + geom_abline(intercept=0.05, slope=0, col = 'red') +
    geom_abline(intercept=0.075, slope=0, col = 'red', linetype='dotted') +
    geom_abline(intercept=0.025, slope=0, col = 'red', linetype='dotted') +
    facet_grid(stats~standard_deviation_ratio) +
    theme(legend.position = 'none')


#-------------------------------------------------------------------------------
# Example with prepare() function - Loading pre-computed objects

if (FALSE) { # \dontrun{

# Step 1: Pre-generate expensive objects offline (can be parallelized)
Design <- createDesign(N = c(10, 20), rho = c(0.3, 0.7))

# Create directory for storing prepared objects
dir.create('prepared_objects', showWarnings = FALSE)

# Generate and save correlation matrices for each condition
for(i in 1:nrow(Design)) {
  cond <- Design[i, ]

  # Generate correlation matrix
  corr_matrix <- matrix(cond$rho, nrow=cond$N, ncol=cond$N)
  diag(corr_matrix) <- 1

  # Create filename based on design parameters
  fname <- paste0('prepared_objects/N', cond$N, '_rho', cond$rho, '.rds')

  # Save to disk
  saveRDS(corr_matrix, file = fname)
}

# Step 2: Use prepare() to load these objects during simulation
prepare <- function(condition, fixed_objects) {
  # Create matching filename
  fname <- paste0('prepared_objects/N', condition$N,
                  '_rho', condition$rho, '.rds')

  # Load the pre-computed correlation matrix
  fixed_objects$corr_matrix <- readRDS(fname)

  return(fixed_objects)
}

generate <- function(condition, fixed_objects) {
  # Use the loaded correlation matrix to generate multivariate data
  dat <- MASS::mvrnorm(n = 50,
                       mu = rep(0, condition$N),
                       Sigma = fixed_objects$corr_matrix)
  data.frame(dat)
}

analyse <- function(condition, dat, fixed_objects) {
  # Calculate mean correlation in generated data
  obs_corr <- cor(dat)
  c(mean_corr = mean(obs_corr[lower.tri(obs_corr)]))
}

summarise <- function(condition, results, fixed_objects) {
  c(mean_corr = mean(results$mean_corr))
}

# Run simulation - prepare() loads objects efficiently
results <- runSimulation(design = Design,
                         replications = 2,
                         prepare = prepare,
                         generate = generate,
                         analyse = analyse,
                         summarise = summarise,
                         verbose = FALSE)

results

# Cleanup
SimClean(dirs='prepared_objects')

} # }